在本篇文章中,我將從不同方面深入介紹降壓、升壓和降壓-升壓拓撲結構。
降壓轉換器
圖1是非同步降壓轉換器的原理圖。降壓轉換器將其輸入電壓降低為較低的輸出電壓。當開關Q1導通時,能量轉移到輸出端。


圖1:非同步降壓轉換器原理圖
公式1計算占空比:


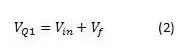
公式2計算最大金屬氧化物半導體場效應晶體管(MOSFET)應力:


公式3給出了最大二極管應力:


其中Vin是輸入電壓,Vout是輸出電壓,Vf是二極管正向電壓。
與線性穩壓器或低壓差穩壓器(LDO)相比,輸入電壓和輸出電壓之間的差異越大,降壓轉換器的效率就越高。
盡管降壓轉換器在輸入端具有脈沖電流,但由于的電感 - 電容(LC)濾波器位于轉換器的輸出端,輸出電流是連續的。結果,與輸出端的紋波相比,反射到輸入端的電壓紋波將會更大。
對于占空比小且輸出電流大于3A的降壓轉換器,建議使用同步整流器。如果您的電源需要大于30A的輸出電流,建議使用多相或交錯功率級,因為這樣可以最大限度地減少組件的應力,在多個功率級之間分散產生的熱量,并減少轉換器輸入端的反射紋波。
使用N-FET時會造成占空比受限,因為自舉電容需要在每個開關循環進行再充電。在這種情況下,最大占空比在95-99%的范圍內。
降壓轉換器通常具有良好的動態特性,因為它們為正向拓撲結構。可實現的帶寬取決于誤差放大器的質量和所選擇的開關頻率。
圖2至圖7顯示了非同步降壓轉換器中FET、二極管和電感器在連續導通模式(CCM)下的電壓和電流波形。


升壓轉換器
升壓轉換器將其輸入電壓升高為更大的輸出電壓。當開關Q1不導通時,能量轉移到輸出端。圖8是非同步升壓轉換器的原理圖。


圖8:非同步升壓轉換器原理圖
公式4計算占空比:


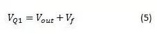
公式5計算最大MOSFET應力:


公式6給出了最大二極管應力:


其中Vin是輸入電壓,Vout是輸出電壓,Vf是二極管正向電壓。
使用升壓轉換器,可以看到脈沖輸出電流,因為LC濾波器位于輸入端。因此,輸入電流是連續的,輸出電壓紋波大于輸入電壓紋波。
在設計升壓轉換器時,重要的是要知道,即使轉換器不在進行切換,也會有從輸入到輸出的永久連接。必須采取預防措施,以防輸出端可能發生的短路事件。
對于大于4A的輸出電流,應使用同步整流器替換二極管。如果電源需要提供大于10A的輸出電流,強烈建議采用多相或交錯功率級方式。
當在CCM模式下工作時,升壓轉換器的動態特性由于其傳遞函數的右半平面零點(RHPZ)而受到限制。由于RHPZ無法補償,所以可實現的帶寬通常將小于RHPZ頻率的五分之一到十分之一。請參見公式7:


其中Vout是輸出電壓,D是占空比,Iout是輸出電流,L1是升壓轉換器的電感。
圖9至圖14顯示了非同步升壓轉換器中FET、二極管和電感器在CCM模式下的電壓和電流波形。


降壓-升壓轉換器
降壓-升壓轉換器是降壓和升壓功率級的組合,共享相同的電感器。參見圖15。


圖15:雙開關降壓-升壓轉換器原理圖
降壓-升壓拓撲結構很實用,因為輸入電壓可以比輸出電壓更小、更大或相同,而需要輸出功率大于50W。
對于小于50W的輸出功率,單端初級電感轉換器(SEPIC)是一種更具成本效益的選擇,因為它使用較少的組件。
當輸入電壓大于輸出電壓時,降壓-升壓轉換器以降壓模式工作;輸入電壓小于輸出電壓時,在升壓模式下工作。當轉換器在輸入電壓處于輸出電壓范圍內的傳輸區域中工作時,處理這些情況有兩個概念:或是降壓和升壓級同時有效,或是開關循環在降壓和升壓級之間交替,每個通常以正常開關頻率的一半運行。第二個概念可以在輸出端引起次諧波噪聲,而與常規降壓或升壓工作相比,輸出電壓精度可能不那么精確,但與第一個概念相比,轉換器將更加有效。
降壓-升壓拓撲結構在輸入和輸出端都有脈沖電流,因為任一方向都沒有LC濾波器。
對于降壓-升壓轉換器,可以分別使用降壓和升壓功率級計算。
具有兩個開關的降壓-升壓轉換器適用于50W至100W之間的功率范圍(如LM5118),同步整流功率可達400W(與LM5175相同)。建議使用與未組合降壓和升壓功率級相同的電流限制的同步整流器。
您需要為升壓級設計降壓-升壓轉換器的補償網絡,因為RHPZ會限制穩壓器帶寬。
烜芯微專業制造二極管,三極管,MOS管,橋堆等20年,工廠直銷省20%,4000家電路電器生產企業選用,專業的工程師幫您穩定好每一批產品,如果您有遇到什么需要幫助解決的,可以點擊右邊的工程師,或者點擊銷售經理給您精準的報價以及產品介紹
烜芯微專業制造二極管,三極管,MOS管,橋堆等20年,工廠直銷省20%,4000家電路電器生產企業選用,專業的工程師幫您穩定好每一批產品,如果您有遇到什么需要幫助解決的,可以點擊右邊的工程師,或者點擊銷售經理給您精準的報價以及產品介紹

