隨著集成電路工藝制程技術的不斷發展,為了提高集成電路的集成度,同時提升器件的工作速度和降低它的功耗,MOS器件的特征尺寸不斷縮小,MOS器件面臨一系列的挑戰。同時MOS器件也有著一定的不可或缺的特性,下面為你詳細介紹。
一、為什么E-MOSFET的閾值電壓隨著半導體襯底摻雜濃度的提高而增大?而隨著溫度的升高而下降?
【答】E-MOSFET的閾值電壓就是使半導體表面產生反型層(導電溝道)所需要加的柵極電壓。對于n溝道E-MOSFET,當柵電壓使得p型半導體表面能帶向下彎曲到表面勢ψs≥2ψB時,即可認為半導體表面強反型,因為這時反型層中的少數載流子(電子)濃度就等于體內的多數載流子濃度(~摻雜濃度);這里的ψB是半導體Fermi勢,即半導體禁帶中央與Fermi能級之差。閾值電壓VT包含有三個部分的電壓(不考慮襯偏電壓時):柵氧化層上的電壓降Vox;半導體表面附近的電壓降2ΨB:抵消MOS系統中各種電荷影響的電壓降——平帶電壓VF。


在閾值電壓的表示式中,與摻雜濃度和溫度有關的因素主要是半導體Fermi勢ψB。當p型半導體襯底的摻雜濃度NA提高時,半導體Fermi能級趨向于價帶頂變化,則半導體Fermi勢ψB增大,從而就使得更加難以達到ψs≥2ψB的反型層產生條件,所以閾值電壓增大。
當溫度T升高時,半導體Fermi能級將趨向于禁帶中央變化,則半導體Fermi勢ψB減小,從而導致更加容易達到ψs≥2ψB的反型層產生條件,所以閾值電壓降低。
二、為什么E-MOSFET的源-漏電流在溝道夾斷之后變得更大、并且是飽和的(即與源-漏電壓無關)?
【答】E-MOSFET的溝道夾斷是指柵極電壓大于閾值電壓、出現了溝道之后,源-漏電壓使得溝道在漏極端夾斷的一種狀態。實際上,溝道在一端夾斷并不等于完全沒有溝道。當柵電壓小于閾值電壓時,則完全沒有溝道,這是不導電的狀態——截止狀態。而溝道的夾斷區由于是耗盡區,增加的源-漏電壓也主要是降落在夾斷區,則夾斷區中存在很強的電場,只要有載流子到達夾斷區的邊緣,即可被電場拉過、從漏極輸出,因此夾斷區不但不阻止載流子通過,而相反地卻能夠很好地導電,所以有溝道、并且溝道在一端夾斷的狀態,是一種很好的導電狀態,則溝道夾斷之后的輸出源-漏電流最大。
E-MOSFET的溝道在漏極端夾斷以后,由于夾斷區基本上是耗盡區,則再進一步增加的源-漏電壓,即將主要是降落在夾斷區,這就使得未被夾斷的溝道——剩余溝道的長度基本上保持不變;而在溝道夾斷之后的源-漏電流主要是決定于剩余溝道的長度,所以這時的源-漏電流也就基本上不隨源-漏電壓而變化——輸出電流飽和。
三、為什么短溝道E-MOSFET的飽和源-漏電流并不完全飽和?
【答】對于短溝道MOSFET,引起輸出源-漏電流飽和的原因基本上有兩種:一種是溝道夾斷所導致的電流飽和;另一種是速度飽和所導致的電流飽和。
對于溝道夾斷的飽和,因為夾斷區的長度會隨著其上電壓的增大而有所增大,則使得剩余溝道的長度也將隨著源-漏電壓而減短,從而就會引起源-漏電流相應地隨著源-漏電壓而有所增大——輸出電流不完全飽和。不過,這種電流不飽的程度與溝道長度有關:對于長溝道MOSFET,這種夾斷區長度隨源-漏電壓的變化量,相對于整個溝道長度而言,可以忽略,所以這時溝道夾斷之后的源-漏電流近似為“飽和”的;但是對于短溝道MOSFET,這種夾斷區長度隨源-漏電壓的變化量,相對于整個溝道長度而言,不能忽略,所以溝道夾斷之后的源-漏電流將會明顯地隨著源-漏電壓的增大而增加——不飽和。
對于速度飽和所引起的電流飽和情況,一般說來,當電場很強、載流子速度飽和之后,再進一步增大源-漏電壓,也不會使電流增大。因此,這時的飽和電流原則上是與源-漏電壓無關的。
對于短溝道MOSFET,還有一個導致電流不飽和的重要原因,即所謂DIBL(漏極感應源端勢壘降低)效應。因為源區與溝道之間總是存在一個高低結所造成的勢壘,當源-漏電壓越高,就將使得該勢壘越低,則通過溝道的源-漏電流越大,因此輸出電流不會飽和。
總之,導致短溝道MOSFET電流不飽和的因素主要有溝道長度調制效應和DIBL效應。
四、為什么E-MOSFET的飽和源-漏電流與飽和電壓之間具有平方的關系?
【答】增強型MOSFET(E-MOSFET)的飽和源-漏電流表示式為


飽和電壓(VGS-VT)就是溝道夾斷時的源-漏電壓。在MOSFET的轉移特性(IDsat~VGS)曲線上,E-MOSFET的飽和源-漏電流IDsat與飽和電壓(VGS-VT)的關系即呈現為拋物線。導致出現這種平方關系的原因有二:
①溝道寬度越大,飽和源-漏電流越大,飽和電壓也就越高;
②電流飽和就對應于溝道夾斷,而夾斷區即為耗盡層,其寬度與電壓之間存在著平方根的關系,這就導致以上的平方結果。正因為MOSFET具有如此平方的電流-電壓關系,所以常稱其為平方率器件。
五、為什么一般MOSFET的飽和源-漏電流具有負的溫度系數?
【答】MOSFET的飽和源-漏電流可表示為


在此關系中,因為材料參數和器件結構參數均與溫度的關系不大,則與溫度有關的因素主要有二:閾值電壓VT和載流子遷移率μn。
由于MOSFET的閾值電壓VT具有負的溫度系數,所以,隨著溫度的升高,就使得MOSFET的輸出飽和源-漏電流隨之增大,即導致電流具有正的溫度系數。
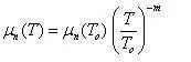
而載流子遷移率μn,在室溫附近一般將隨著溫度的升高而下降(主要是晶格振動散射起作用):


式中To=300K,m=1.5~2.0。遷移率的這種溫度特性即導致MOSFET的增益因子


也具有負的溫度系數。從而,隨著溫度的升高,遷移率的下降就會導致MOSFET的輸出源-漏電流減小,即電流具有負的溫度系數。
綜合以上閾值電壓和載流子遷移率這兩種因素的不同影響,則根據MOSFET飽和電流的表示式即可得知:
①當飽和電壓(VGS-VT)較大(即VGS>>VT)時,閾值電壓溫度關系的影響可以忽略,則輸出源-漏電流的溫度特性將主要決定于載流子遷移率的溫度關系,即具有負的溫度系數(溫度升高,IDS下降);
②當飽和電壓(VGS-VT)較小(即VGS~VT)時,則輸出源-漏電流的溫度特性將主要決定于閾值電壓的溫度關系,從而具有正的溫度系數(溫度升高,IDS也增大)。
而對于一般的MOSFET,為了獲得較大的跨導,往往把飽和電壓(VGS-VT)選取得較大,因此可以不考慮閾值電壓的影響,于是飽和源-漏電流通常都具有負的溫度系數。也因此,一般的MOSFET都具有一定的自我保護的功能,則可以把多個管芯直接并聯起來,也不會出現因電流分配不均勻而引起的失效;利用這種并聯管芯的辦法即可方便地達到增大器件輸出電流的目的(實際上,功率MOSFET就是采用這種措施來實現大電流的)。
六、為什么MOSFET的飽和區跨導大于線性區的跨導?
【答】飽和區與線性區都是出現了溝道的狀態,但是它們的根本差別就在于溝道是否被夾斷。電壓對溝道寬度的影響是:柵極電壓將使溝道寬度均勻地發生變化,源-漏電壓將使溝道寬度不均勻地發生變化(則會導致溝道首先在漏極端夾斷)。
在線性區時,由于源-漏電壓較低,則整個溝道的寬度從頭到尾變化不大,這時柵極電壓控制溝道導電的能力相對地較差一些,于是跨導較小。同時,隨著源-漏電壓的增大,溝道寬度的變化增大,使得漏端處的溝道寬度變小,則柵極電壓控制溝道導電的能力增強,跨導增大。
而在飽和區時,源-漏電壓較高,溝道夾斷,即在漏極端處的溝道寬度為0,于是柵極電壓控制溝道導電的能力很強(微小的柵極電壓即可控制溝道的導通與截止),所以這時的跨導很大。因此,飽和區跨導大于線性區跨導。
可見,溝道越是接近夾斷,柵極的控制能力就越強,則跨導也就越大;溝道完全夾斷后,電流飽和,則跨導達到最大——飽和跨導。
七、為什么MOSFET的飽和跨導一般與飽和電壓成正比?但為什么有時又與飽和電壓成反比?
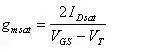
【答】①在源-漏電壓VDS一定時:由E-MOSFET的飽和電流IDsat對柵電壓的微分,即可得到飽和跨導gmsat與飽和電壓(VGS-VT)成正比:


這種正比關系的得來,是由于飽和電壓越高,就意味著溝道越不容易夾斷,則導電溝道厚度必然較大,因此在同樣柵極電壓下的輸出源-漏電流就越大,從而跨導也就越大。
②在飽和電流IDsat一定時:飽和跨導gmsat卻與飽和電壓(VGS-VT)成反比:


這是由于飽和電壓越高,就意味著溝道越難以夾斷,則柵極的控制能力就越小,即跨導越小。
總之,在源-漏電壓一定時,飽和跨導與飽和電壓成正比,而在源-漏電流一定時,飽和跨導與飽和電壓成反比。
這種相反的比例關系,在其他場合也存在著,例如功耗P與電阻R的關系:當電流一定時,功耗與電阻成正比(P=IV=I2R);當電壓一定時,功耗與電阻成反比(P=IV=V2/R)。
八、為什么MOSFET的線性區源-漏電導等于飽和區的跨導(柵極跨導)?
【答】MOSFET的線性區源-漏電導gdlin和飽和區的柵極跨導gmsat,都是表征電壓對溝道導電、即對源-漏電流控制能力大小的性能參數。
在線性區時,溝道未夾斷,但源-漏電壓將使溝道寬度不均勻;這時源-漏電壓的變化,源-漏電導gdlin即表征著在溝道未夾斷情況下、源-漏電壓對源-漏電流的控制能力,這種控制就是通過溝道寬度發生不均勻變化而起作用的。
而飽和區的柵極跨導——飽和跨導gmsat是表征著在溝道夾斷情況下、柵-源電壓對源-漏電流的控制能力,這時剩余溝道的寬度已經是不均勻的,則這種控制也相當于是通過溝道寬度發生不均勻變化而起作用的,因此這時的柵極跨導就等效于線性區源-漏電導:


九、為什么在E-MOSFET的柵-漏轉移特性上,隨著柵-源電壓的增大,首先出現的是飽和區電流、然后才是線性區電流?
【答】E-MOSFET的柵-漏轉移特性如圖1所示。在柵-源電壓VGS小于閾值電壓VT時,器件截止(沒有溝道),源-漏電流電流很小(稱為亞閾電流)。


在VGS>VT時,出現溝道,但如果源-漏電壓VDS=0,則不會產生電流;只有在VGS>VT和VDS>0時,才會產生電流,這時必然有VDS >(VGS-VT),因此MOSFET處于溝道夾斷的飽和狀態,于是源-漏電流隨柵-源電壓而平方地上升。相應地,飽和跨導隨柵-源電壓而線性地增大,這是由于飽和跨導與飽和電壓(VGS-VT)成正比的緣故。
而當柵-源電壓進一步增大,使得VDS<(VGS-VT)時,則MOSFET又將轉變為溝道未夾斷的線性工作狀態,于是源-漏電流隨柵-源電壓而線性地增大。這時,跨導不再變化(與柵電壓無關)。
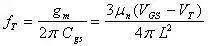
十、為什么MOSFET的電流放大系數截止頻率fT與跨導gm成正比?
【答】MOSFET的fT就是輸出電流隨著頻率的升高而下降到等于輸入電流時的頻率。器件的跨導gm越大,輸出的電流就越大,則輸出電流隨頻率的下降也就越慢,從而截止頻率就越大,即fT與gm有正比關系:


由于fT與gm的正比關系,就使得fT與飽和電壓(VGS-VT)也有正比關系,從而高頻率就要求較大的飽和電壓。
十一、為什么提高MOSFET的頻率與提高增益之間存在著矛盾?
【答】MOSFET的高頻率要求它具有較大的跨導,而在源-漏電壓一定的情況下,較大的跨導又要求它具有較大的飽和電壓(VGS-VT),所以高頻率也就要求有較大的飽和電壓。
因為MOSFET的電壓增益是在源-漏電流一定的情況下、輸出電壓VDS對柵-源電壓VGS的微分,則飽和狀態的電壓增益Kvsat將要求器件具有較小的飽和電壓(VGS-VT):


這是由于在IDsat一定時,飽和電壓越低,飽和跨導就越大,故Kvsat也就越大。
可見,提高頻率與增大電壓增益,在對于器件飽和電壓的要求上存在著矛盾。因此,在工作電流IDsat一定時,為了提高電壓增益,就應該減小(VGS-VT)和增大溝道長度L。這種考慮對于高增益MOSFET具有重要的意義;但是這種減小(VGS-VT)的考慮卻對于提高截止頻率不利。
十二、為什么E-MOSFET的柵-源短接而構成的MOS二極管存在著“閾值損失”?
【答】這種集成MOS二極管的連接方式及其伏安特性如圖2所示。因為柵極與漏極短接,則VGS=VDS。因此,當電壓較小(VGS=VDS(VGS-VT)關系,于是出現了溝道、但總是被夾斷的,所以器件處于飽和狀態,輸出源-漏電流最大、并且飽和,為恒流源。


由于VGS=VDS,所以這種二極管的輸出伏安特性將與轉移特性完全一致。因為MOSFET的飽和輸出電流IDsat與飽和電壓(VGS-VT)之間有平方關系,所以該二極管在VGS=VDS≥VT時的輸出伏安特性為拋物線關系,并且這也就是其轉移特性的關系。
所謂閾值損失,例如在門電路中,是輸出高電平要比電源電壓低一個閾值電壓大小的一種現象。由E型,柵-漏短接的MOS二極管的伏安特性可以見到,當其輸出源-漏電流IDS降低到0時,其源-漏電壓VDS也相應地降低到VT。這就意味著,這種二極管的輸出電壓最低只能下降到VT,而不能降低到0。這種“有電壓、而沒有電流”的性質,對于用作為有源負載的這種集成MOS二極管而言,就必將會造成閾值損失。
十三、為什么在MOSFET中存在有BJT的作用?這種作用有何危害?
【答】①對于常規的MOSFET:如圖3(a)所示,源區、漏區和p襯底即構成了一個npn寄生晶體管。當溝道中的電場較強時,在夾斷區附近的電子即將獲得很大的能量而成為熱電子,然后這些熱電子通過與價電子的碰撞、電離,就會形成一股流向襯底的空穴電流Ib;該過襯底電流就是寄生晶體管的基極電流,在熱電子效應較嚴重、襯底電流較大時,即可使寄生晶體管導通,從而破壞了MOSFET的性能。這種熱電子效應的不良影響往往是較短溝道MOSFET的一種重要失效機理。
②對于CMOS器件:在CMOS器件的芯片中,存在著npnp的四層結構——晶閘管。當其中的BJT因為熱電子效應而導通時,即可發生所謂“閂鎖效應”、而導致器件失效。


③對于VDMOSFET:觀察圖3(b)中的結構,即可見到,當器件正向導通時,其中存在一個工作于放大狀態的寄生n-p-n晶體管(n+源區是發射區,n-外延層是集電區,p溝道是基區)。該寄生晶體管的可能導電通道是與MOSFET的ID相并聯的,故在VDMOSFET工作時,必須要注意防止寄生晶體管導通;否則,寄生晶體管的導通就可能引起二次擊穿,使得功率MOSFET完全失去功能。
為了避免VDMOSFET在正向工作時、其中寄生n-p-n晶體管的導通,可以設法使寄生晶體管的電流放大系數變得很小、甚至減至為0——采用“陰極短路技術”,即把寄生晶體管的發射極與基極短接起來,工藝上就通過把發射區(源極區)的金屬電極延伸到溝道體區的表面上來實現。因為這種陰極短路結構截斷了發射極注入載流子的功能,所以能夠防止寄生晶體管的導通。
對于VDMOSFET,在采用了陰極短路結構之后,實際上又恰恰在器件內部形成了一個p-n-n+二極管,這個二極管與VDMOSFET是反向并聯的,這也就順便地在VDMOSFET中設置了一個阻尼二極管(續流二極管),該二極管對于泄放反向電動勢、防止主體晶體管的擊穿具有重要作用。
十四、為什么在VDMOSFET中存在有JFET的作用?有何不良影響?
【答】如圖4所示,源-漏電流是從芯片表面向下流動的,并在電流通路的兩側是pn結,因此這種電流輸運的過程,從工作原理上來看,就相當于是一個寄生JFET。從而可以把VDMOSFET等效為一個MOSFET與一個寄生JFET的串聯組合,其中很大部分n-漂移區就相當于是寄生JFET的溝道。
由于JFET的輸出交流電阻非常大,同時也因為較高的源-漏電壓而具有很大的輸出直流電阻,所以就使得VDMOSFET的導通電阻大大增加,因此n-漂移區的厚度和摻雜濃度對整個器件性能的影響都較大。
為了消除VDMOSFET中寄生JFET的影響,以降低導通電阻,就必須在結構上加以改變,由此發展出了V形槽柵、U形槽柵和溝槽(Trench)柵等結構的MOSFET。


十五、IGBT和MCT都是MOS柵極控制的功率場效應晶體管,為什么說它們是兩種完全不同的器件?
【答】IGBT(絕緣柵雙極型場效應晶體管)和MCT(MOS控制晶閘管)的共同點主要有:
①都是MOS柵極控制的器件,則具有功率場效應晶體管的優點;
②在結構上,其中都存在著四層、三結的晶閘管結構,因此在一定條件下會出現陽極電流閂鎖效應;
③它們都可以采用多個元胞并聯的結構,因此可以獲得很大的工作電流;
④它們都是有兩種載流子參與工作的器件,因此都是雙極型的場效應晶體管 ,導通電阻低,但開關速度也相對地要比MOSFET的低。
IGBT和MCT的最大不同點就在于它們的工作狀態和性質不相同,因此說它們是兩種完全不同的器件:
①IGBT的工作電流主要是通過MOS溝道的電流,而其中的晶閘管電流是需要極力避免的(IGBT的最大工作電流——擎住電流就是其中晶閘管不導通時的電流),因此從本質上來看,IGBT基本上是一種MOSFET,因此IGBT具有MOS器件的許多優點,例如較強的柵極的控制能力和較低的驅動功率(因為有很大的輸入電阻和較小的輸入電容之故)。
而MCT與IGBT的恰恰相反,它的工作電流主要是晶閘管電流,至于MOS溝道的電流,則主要是起著觸發晶閘管導通或者關斷的作用,不是MCT的主要工作電流,因此從本質上來看,MCT基本上是一種晶閘管——雙極型器件,從而MCT具有導通電阻很低、耐壓很高、功率容量很大的優點。
②IGBT雖然在本質上是一種MOS器件,但又不同于一般的MOSFET,因為IGBT在導通工作時,有少數載流子注入到高阻的耐壓層(漂移區),可以產生電導調制,則它的導通電阻較小,增大了器件的電流容量(電流密度要比VDMOSFET的高2~3倍);同時由于高阻耐壓層的引入而提高了工作電壓。因此IGBT的功率容量很大。只是IGBT的開關速度,由于少數載流子的引入而相應地有所降低。
③雖然MCT本質上是一種晶閘管,而且MOS柵極可以關斷陽極電流,但MCT又不同于一般的可關斷晶閘管(GTO)。因為MCT實際上是一種把單極型的MOSFET與雙極型的晶閘管組合而成的復合型器件,也是一種所謂Bi-MOS器件,所以它具有MOS器件和雙極型器件二者的長處:較強的柵極控制能力,較低的驅動功率,較高的開關速度,較大功率容量。
烜芯微專業制造二極管,三極管,MOS管,橋堆等20年,工廠直銷省20%,1500家電路電器生產企業選用,專業的工程師幫您穩定好每一批產品,如果您有遇到什么需要幫助解決的,可以點擊右邊的工程師,或者點擊銷售經理給您精準的報價以及產品介紹
烜芯微專業制造二極管,三極管,MOS管,橋堆等20年,工廠直銷省20%,1500家電路電器生產企業選用,專業的工程師幫您穩定好每一批產品,如果您有遇到什么需要幫助解決的,可以點擊右邊的工程師,或者點擊銷售經理給您精準的報價以及產品介紹

